戴森球計劃如何畫對稱的戴森球?許多小夥伴不知道如何畫出一個對稱的戴森球,下面小編就帶來戴森球計劃對稱的戴森球畫法分享,一起來看看吧。

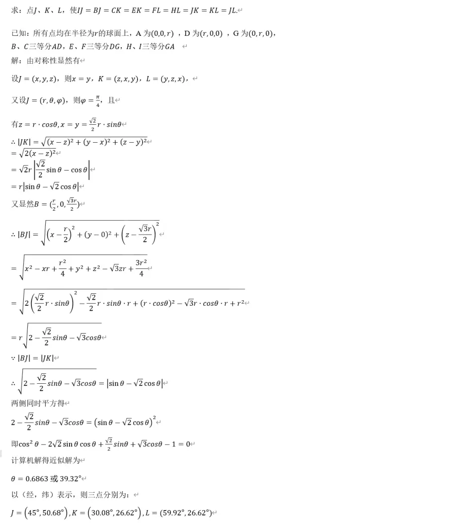
用一點點高中的立體幾何知識,設計一個三向對稱的球:



以上就是戴森球計劃對稱的戴森球畫法分享全部內容,想要了解更多相關攻略的小夥伴可以持續關注,這裡每天會為大家推送最新最全的攻略,一定不要錯過哦。
戴森球計劃如何畫對稱的戴森球?許多小夥伴不知道如何畫出一個對稱的戴森球,下面小編就帶來戴森球計劃對稱的戴森球畫法分享,一起來看看吧。

用一點點高中的立體幾何知識,設計一個三向對稱的球:



以上就是戴森球計劃對稱的戴森球畫法分享全部內容,想要了解更多相關攻略的小夥伴可以持續關注,這裡每天會為大家推送最新最全的攻略,一定不要錯過哦。